Beranda
/ Simpangan Baku Dari Sekelompok Data Tunggal 7 3 5 4 6 5 Adalah : Ukuran Statistika Pendahuluan Ukuran Statistik 1 Ukuran Pemusatan - 6, 8, 10, 12, 14, 16.
Simpangan Baku Dari Sekelompok Data Tunggal 7 3 5 4 6 5 Adalah : Ukuran Statistika Pendahuluan Ukuran Statistik 1 Ukuran Pemusatan - 6, 8, 10, 12, 14, 16.
Simpangan Baku Dari Sekelompok Data Tunggal 7 3 5 4 6 5 Adalah : Ukuran Statistika Pendahuluan Ukuran Statistik 1 Ukuran Pemusatan - 6, 8, 10, 12, 14, 16.. Jadi simpangan bakunya adalah 3 2 √ 2. Sehingga diketahui nilai simpangan bakunya yaitu adalah 5,83. Hitunglah simpangan baku dari nilai ulangan matematika dari 71 siswa kelas 12 sma pelita sesuai dengan yang tertera pada tabel. Simpangan rataan hitung seperti diatas menunjukan rataan hitung jauhnya datum dari rataan hitung. Tentukan range dari data yang disajikan di bawah ini.
Cara menghitung simpangan baku secara manual. Maka untuk cara menghitung simpangan bakunya kita hanya perlu akar kuadrat nilai dari varian tersebut yaitu s = √30,32 = 5,51. Dari cara tersebut kita sudah mengetahui bahwa nilai variannya adalah 30,32. Simpangan rataan hitung seperti diatas menunjukan rataan hitung jauhnya datum dari rataan hitung. Diketahui data 3, 4, 4, 5, 6, 7, 8, 9, 9.
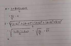
Rumus Simpangan Rata Rata Contoh Soal Cara Menghitung from pengajar.co.id 10, 6, 5, 7, 8, 7, 9, 12 adalah…. 8, 14, 10, 13, 11, 9. S = √ ∑ n i = 1 ( x i − ¯ x) 2 n = √ 10 5 = √ 2. Rumus untuk mencari simpangan baku adalah: Simpangan baku dari data 7 3 6 7 8 6 5 10 4 4 adalah brainly co id. Dalam mencari kuartil dari tabel tersebut, kami buat juga frekuensi kumulatif. Tentukanlah jangkauan interkuartil & simpangan kuartil pada data berikut ini : Karena itu dalam menghitung simpangan bak, hanya memerlukan akar kuadrat dari nilai varian tersebut, yaitu s = √30,32 = 5,51.
Hitunglah simpangan baku dari data tunggal 5,3,5,4,6, dan 7.
Penghitungan kuartil tergantung dari kondisi banyaknya data tersebut. Hal pertama yang harus kita lakukan adalah pertama kita akan mengurutkan data untuk mencari kuartil. 6, 7, 3, 4, 8, 3, 7, 6, 10, 15, 20. Dalam mencari kuartil dari tabel tersebut, kami buat juga frekuensi kumulatif. Berat badan 6 anak balita dalam kg adalah : Simpangan rataan hitung seperti diatas menunjukan rataan hitung jauhnya datum dari rataan hitung. Dari cara tersebut kita sudah mengetahui bahwa nilai variannya adalah 30,32. Ragam/varians ( s 2) dan simpangan baku (s) data tunggal. Simpangan kuartil dari 74567457896 adalah. Simpangan baku dari data 7 4 6 5 3 adalah. S = √ ∑ n i = 1 ( x i − ¯ x) 2 n = √ 10 5 = √ 2. Hitunglah simpangan baku dari nilai ulangan matematika dari 71 siswa kelas 12 sma pelita sesuai dengan yang tertera pada tabel. Supaya dapat menghitung simpangan baku data kuantitatif :
Berat badan 6 anak balita dalam kg adalah : Simpangan baku dari data 7 4 6 5 3 adalah. 10, 6, 5, 7, 8, 7, 9, 12 adalah…. Langkah awal untuk menentukan angka baku suatu data, adalah menentukan terlebih dahulu. Inilah pembahasan selengkapnya mengenai simpangan baku dari data 6 7 4 5 3 adalah.
Statistika Ukuran Gejala Pusat Data Belum Dikelompokkan Nama from slidetodoc.com Simpangan baku dari data : Dari cara tersebut kita sudah mengetahui bahwa nilai variannya adalah 30,32. Diketahui data 3, 4, 4, 5, 6, 7, 8, 9, 9. Simpangan kuartil dari 74567457896 adalah. Tentukan nilai dari jangkauan, jangkauan antar kuartil, simpangan kuartil, simpangan. Simpangan rataan hitung seperti diatas menunjukan rataan hitung jauhnya datum dari rataan hitung. Inilah pembahasan selengkapnya mengenai simpangan baku dari data 6 7 4 5 3 adalah. Simpangan baku dari data 3, 6, 4, 7, 5 adalah √2.
Simpangan baku dari data 7, 7, 6 , 11, 7, 5, 6, 7 adalah.
Hitunglah simpangan baku dari nilai ulangan matematika dari 71 siswa kelas 12 sma pelita sesuai dengan yang tertera pada tabel. Kita akan membahas simpangan baku (deviasi standar), simpangan baku ini adalah jenis simpangan yang paling banyak digunakan. 57 49 30 46 59 43 42 47 40 45 44 56. Simpangan baku dari sekelompok data tunggal 36475. Simpangan baku (sb) adalah akar dari ragam. 10, 9, 7, 8, 6 adalah…. Simpangan baku dari data 7 4 6 5 3 adalah. Simpangan baku dari sekelompok data tunggal berikut:3,6,4,7,5 adalah?? Simpangan baku dari sekelompok data tunggal: Dari data di atas maka kita dapatkan xmaks = 20 dan xmin = 3. Diketahui data 3, 4, 4, 5, 6, 7, 8, 9, 9. Frekuensi 2 4 7 6 1. Cara menghitung simpangan baku dari data kuantitatif :
Simpangan baku dari data 7, 7, 6 , 11, 7, 5, 6, 7 adalah. Simpangan baku dari data 3, 6, 4, 7, 5 adalah √2. Jangkauan interkuartil & simpangan kuartil dari data tersebut adalah 15 & 7,5. Simpangan kuartil dari 74567457896 adalah. Kita akan membahas simpangan baku (deviasi standar), simpangan baku ini adalah jenis simpangan yang paling banyak digunakan.
Rumus Cara Menghitung Simpangan Baku Beserta Contoh Soalnya from rumusmatematika.id Rumus untuk mencari simpangan baku adalah: 10, 9, 7, 8, 6 adalah…. Jangkauan interkuartil & simpangan kuartil dari data tersebut adalah 15 & 7,5. Simpangan baku dari sekelompok data tunggal 735465. Kita akan membahas simpangan baku (deviasi standar), simpangan baku ini adalah jenis simpangan yang paling banyak digunakan. Cara menghitung simpangan baku dari data kuantitatif : Simpangan rataan hitung seperti diatas menunjukan rataan hitung jauhnya datum dari rataan hitung. 10, 6, 5, 7, 8, 7, 9, 12 adalah….
Supaya dapat menghitung simpangan baku data kuantitatif :
Simpangan baku dari sekelompok data tunggal: Berat badan 6 anak balita dalam kg adalah : Nilai 4 5 6 8 10. Diketahui data 3, 4, 4, 5, 6, 7, 8, 9, 9. Misalnya ialah jika dalam suatu data diukur dengan unit penghitung, deviasi standar juga harus diukur dengan adanya sebuah penghitung atau satuan meter. 57 49 30 46 59 43 42 47 40 45 44 56. Dari data di atas maka kita dapatkan xmaks = 20 dan xmin = 3. Simpangan bakunya (s) = jawaban: Dari cara tersebut kita sudah mengetahui bahwa nilai variannya adalah 30,32. Jadi simpangan bakunya adalah 3 2 √ 2. Inilah pembahasan selengkapnya mengenai simpangan baku dari data 6 7 4 5 3 adalah. Jangkauan interkuartil & simpangan kuartil dari data tersebut adalah 15 & 7,5. Dalam mencari kuartil dari tabel tersebut, kami buat juga frekuensi kumulatif.
Berbagi
Posting Komentar
untuk "Simpangan Baku Dari Sekelompok Data Tunggal 7 3 5 4 6 5 Adalah : Ukuran Statistika Pendahuluan Ukuran Statistik 1 Ukuran Pemusatan - 6, 8, 10, 12, 14, 16."
Posting Komentar untuk "Simpangan Baku Dari Sekelompok Data Tunggal 7 3 5 4 6 5 Adalah : Ukuran Statistika Pendahuluan Ukuran Statistik 1 Ukuran Pemusatan - 6, 8, 10, 12, 14, 16."