Beranda
/ Rumus Pecahan Campuran : Operasi Hitung Pecahan Biasa Campuran Desimal Dan Persen Juragan Les : Sehingga, operasi hitung pecahan adalah operasi hitung dari bilangan rasional dengan berbagai macam.
Rumus Pecahan Campuran : Operasi Hitung Pecahan Biasa Campuran Desimal Dan Persen Juragan Les : Sehingga, operasi hitung pecahan adalah operasi hitung dari bilangan rasional dengan berbagai macam.
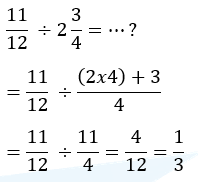
Rumus Pecahan Campuran : Operasi Hitung Pecahan Biasa Campuran Desimal Dan Persen Juragan Les : Sehingga, operasi hitung pecahan adalah operasi hitung dari bilangan rasional dengan berbagai macam.. Cara mengubah pecahan campuran menjadi pecahan biasa yaitu dengan mengalikan bagian bulat dengan penyebut bagian pecahan lalu menjumlahkannya dengan bagian pembilang dari pecahan. Membagi pecahan biasa dengan pecahan biasa cukup hanya dengan langkah seperti uraian rumus perkalian pecahan. Hanya saja pada pecahan campuran, nilai bulat dan nilai pecahan dipisahkan. Pada kesempatan ini, akan dibahas operasi hitung penjumlahan dan pengurangan, perkalian, pembagian, turunan, dan integral. Jika 4 dijadikan 10 seperti soal pertama, tidak bisa.
Bilangan pecahan campuran terdiri atas bilangan bulat dan pecahan biasa. About press copyright contact us creators advertise developers terms privacy policy & safety how youtube works test new features press copyright contact us creators. Untuk lebih jelasnya perhatikan contoh soal penjumlahan pecahan campuran seperti berikut: Berbagai macam sebutan itu menunjukkan bahwasanya nilai yang merupakan hasil pembagian sebuah bilangan dengan bilangan lainnya ataupun sering disebut dengan pecahan. Simkalah penjelasan artikel ini untuk lebih mudah memahami cara pengurangan pecahan dengan mudah.
Pembagian Pecahan Campuran Dengan Pecahan Biasa Brainly Co Id from id-static.z-dn.net Jadi, keterampilan untuk mengubah pecahan biasa menjadi pecahan campuran sangat berguna. Sedangkan untuk memperlihatkan hasil dalam format pecahan campuran, double klik hasil hitungan kemudian pilih fraction dalam format list, aktifkan check box use mixed number. Bilangan pecahan campuran terdiri atas bilangan bulat dan pecahan biasa. Memisahkan nilai pecahan dan nilai bulat. Sebagai contoh, 6 3/8 + 9 1/24 dapat kita ubah menjadi 51/8 + 217/24. Lalu, adakah rumus untuk mengubah pecahan campuran menjadi pecahan biasa ? Ubah pecahan campuran menjadi pecahan biasa. About press copyright contact us creators advertise developers terms privacy policy & safety how youtube works test new features press copyright contact us creators.
Hanya saja pada pecahan campuran, nilai bulat dan nilai pecahan dipisahkan.
Ubah ¾ menjadi bentuk desimal. Sedangkan untuk memperlihatkan hasil dalam format pecahan campuran, double klik hasil hitungan kemudian pilih fraction dalam format list, aktifkan check box use mixed number. Berbagai macam sebutan itu menunjukkan bahwasanya nilai yang merupakan hasil pembagian sebuah bilangan dengan bilangan lainnya ataupun sering disebut dengan pecahan. Jadi, keterampilan untuk mengubah pecahan biasa menjadi pecahan campuran sangat berguna. Rumusrumus.com kali ini akan menjelaskan tentang cara penjumlahan pecahan campuran dan penjulahan pecahan biasa serta akan diberikan juga contoh soal penjumlahan pecahan campuran dan biasa dilengkapi dengan pembahasannya. Pecahan biasa adalah pecahan yang memiliki angka atas lebih besar daripada angka bawahnya, seperti 5 / 2.pecahan campuran terdiri dari angka bulat dan pecahan, seperti 2 1 / 2.biasanya lebih mudah untuk membayangkan 2 1 / 2 piza daripada lima per dua piza. Agar mudah membuat desimal, maka 4 bisa diubah menjadi 100 dengan cara mengalikan 25. Pada sesi ini kita akan membahas tentang cara mengubah pecahan biasa ke dalam bentuk pecahan campuran dan sebaliknya. Pecahan pengurangan pecahan dan pembagian pecahan, campuran linear dan pecahan aljabar menentukan syarat secara aljabar dan geometri menggunakan rumus perbandingan vektor o pengertian vektor matematikaboy files wordpress com, Pengertian pecahan biasa adalah pecahan murni yang terdiri dua bagian yaitu pembilang dan penyebut. Hanya saja pada pecahan campuran, nilai bulat dan nilai pecahan dipisahkan. About press copyright contact us creators advertise developers terms privacy policy & safety how youtube works test new features press copyright contact us creators. Lalu, adakah rumus untuk mengubah pecahan campuran menjadi pecahan biasa ?
Untuk lebih jelasnya perhatikan contoh soal penjumlahan pecahan campuran seperti berikut: Bilangan pecahan campuran terdiri atas bilangan bulat dan pecahan biasa. Selanjutnya merupakan pembahasan mengenai pecahan. Berbagai macam sebutan itu menunjukkan bahwasanya nilai yang merupakan hasil pembagian sebuah bilangan dengan bilangan lainnya ataupun sering disebut dengan pecahan. Agar mudah membuat desimal, maka 4 bisa diubah menjadi 100 dengan cara mengalikan 25.
Pengurangan Pecahan Campuran Dan Biasa Beserta Contohnya from rumus.co.id Posted in rumus matematika tagged aplikasi perkalian pecahan, cara membagi 1 8, contoh pecahan campuran ke pecahan biasa, contoh soal perkalian pecahan, membagi dengan bilangan yang sama 24/30, operasi hitung perkalian dan pembagian pecahan kls 6 sd, operasi pengurangan pecahan campuran, pembagian 3 pecahan, pembagian pecahan campuran. Namun dalam pecahan campuran tersebut terdapat pemisahan nilai pecahan dan nilai bulatnya. Memisahkan nilai pecahan dan nilai bulat. Kali ini saya akan membagikan berbagai cara mudah menyelesaiakan operasi hitung pecahan campuran, yang meliputi penjumlahan, pengurangan, perkalian, pecahan campuran dalam operasi hitung penjumlahan dan pengurangan pecahan campuran terdapat dua cara. Lalu, adakah rumus untuk mengubah pecahan campuran menjadi pecahan biasa ? Membagi pecahan biasa dengan pecahan biasa cukup hanya dengan langkah seperti uraian rumus perkalian pecahan. Menulis pecahan campuran menggunakan mathcad dilakukan dengan klik ctrl+shift+plus. Pecahan campuran adalah bilangan bulat yang berdampingan dengan pecahan, misalnya 5 ½, dan bisa sulit dijumlahkan.
Kali ini saya akan membagikan berbagai cara mudah menyelesaiakan operasi hitung pecahan campuran, yang meliputi penjumlahan, pengurangan, perkalian, pecahan campuran dalam operasi hitung penjumlahan dan pengurangan pecahan campuran terdapat dua cara.
Angka 1 pembilang dan angka 2 penyebut) pengertian pecahan campuran adalah suatu pecahan yang terdiri dari bilangan bulat dan pecahan murni (pembilang dan penyebut). Sedangkan untuk memperlihatkan hasil dalam format pecahan campuran, double klik hasil hitungan kemudian pilih fraction dalam format list, aktifkan check box use mixed number. Sehingga, operasi hitung pecahan adalah operasi hitung dari bilangan rasional dengan berbagai macam. Dibawah ini akan kami bahas tiga jenis perkalian dalam bilangan pecahan supaya kalian dapat lebih memahami perihal mengalikan dalam bilangan pecahan, tiga jenis pada bilangan perkalian yaitu terdiri atas pecahan bulat, pecahan biasa dengan pembilangan bulat, dan juga perkalian campuran sebagai bilangan bulat atau juga bilangan biasa. Pecahan campuran adalah bilangan bulat yang berdampingan dengan pecahan, misalnya 5 ½, dan bisa sulit dijumlahkan. Selanjutnya merupakan pembahasan mengenai pecahan. Pada sesi ini kita akan membahas tentang cara mengubah pecahan biasa ke dalam bentuk pecahan campuran dan sebaliknya. Pecahan biasa adalah pecahan yang memiliki angka atas lebih besar daripada angka bawahnya, seperti 5 / 2.pecahan campuran terdiri dari angka bulat dan pecahan, seperti 2 1 / 2.biasanya lebih mudah untuk membayangkan 2 1 / 2 piza daripada lima per dua piza. Memisahkan nilai pecahan dan nilai bulat. Kali ini saya akan membagikan berbagai cara mudah menyelesaiakan operasi hitung pecahan campuran, yang meliputi penjumlahan, pengurangan, perkalian, pecahan campuran dalam operasi hitung penjumlahan dan pengurangan pecahan campuran terdapat dua cara. Pada kesempatan ini, akan dibahas operasi hitung penjumlahan dan pengurangan, perkalian, pembagian, turunan, dan integral. Hanya saja pada pecahan campuran, nilai bulat dan nilai pecahan dipisahkan. Cara menghitung bilangan pecahan campuran yaitu dengan 4 metode diantaranya penambahan, pengurangan, pengalian, dan pembagian.
Cara mengubah pecahan campuran menjadi pecahan biasa yaitu dengan mengalikan bagian bulat dengan penyebut bagian pecahan lalu menjumlahkannya dengan bagian pembilang dari pecahan. Rumus penjumlahan pecahan campuran dan biasa by abdillah posted on 07/04/2021. Pada kesempatan ini, akan dibahas operasi hitung penjumlahan dan pengurangan, perkalian, pembagian, turunan, dan integral. Cara menghitung penjumlahan pecahan campuran tersebut pada dasarnya tidak jauh berbeda dengan pecahan biasa. Pecahan adalah bentuk dari bilangan rasional, yang mana merupakan sebuah bilangan yang berbentuk a / b dengan b tidak sama dengan nol.
Rumus Pembagian Pecahan Campuran Biasa Desimal Contoh Soal from cdn.utakatikotak.com Jika 4 dijadikan 10 seperti soal pertama, tidak bisa. Misalnya terdapat pecahan 2 4/5, jika diubah menjadi pecahan biasa menjadi (2 x 5 + 4)/5 sehingga menjadi 14/5. Sebelum masuk ke inti kita pelajari beberapa hal terlebih dahulu yaitu menyatakan bilangan bulat ke bentuk pecahan dan sebaliknya. Kali ini saya akan membagikan berbagai cara mudah menyelesaiakan operasi hitung pecahan campuran, yang meliputi penjumlahan, pengurangan, perkalian, pecahan campuran dalam operasi hitung penjumlahan dan pengurangan pecahan campuran terdapat dua cara. About press copyright contact us creators advertise developers terms privacy policy & safety how youtube works test new features press copyright contact us creators. Memisahkan nilai pecahan dan nilai bulat. Rumusrumus.com kali ini akan menjelaskan tentang cara penjumlahan pecahan campuran dan penjulahan pecahan biasa serta akan diberikan juga contoh soal penjumlahan pecahan campuran dan biasa dilengkapi dengan pembahasannya. Pengurangan pecahan campuran secara umum hampir sama dengan mengurangi pecahan biasa.
Lalu, adakah rumus untuk mengubah pecahan campuran menjadi pecahan biasa ?
Jika 4 dijadikan 10 seperti soal pertama, tidak bisa. Menulis pecahan campuran menggunakan mathcad dilakukan dengan klik ctrl+shift+plus. Jika kita mendapatkan pecahan dengan angka bulat, ubahlah pecahan tersebut menjadi pecahan biasa agar lebih mudah dijumlahkan. Agar mudah membuat desimal, maka 4 bisa diubah menjadi 100 dengan cara mengalikan 25. Berikut rumus pecahan campuran ke pecahan biasa : Misalnya terdapat pecahan 2 4/5, jika diubah menjadi pecahan biasa menjadi (2 x 5 + 4)/5 sehingga menjadi 14/5. Bilangan pecahan campuran terdiri atas bilangan bulat dan pecahan biasa. Sebelum masuk ke inti kita pelajari beberapa hal terlebih dahulu yaitu menyatakan bilangan bulat ke bentuk pecahan dan sebaliknya. Selanjutnya merupakan pembahasan mengenai pecahan. Sehingga, operasi hitung pecahan adalah operasi hitung dari bilangan rasional dengan berbagai macam. Pada sesi ini kita akan membahas tentang cara mengubah pecahan biasa ke dalam bentuk pecahan campuran dan sebaliknya. Berbagai macam sebutan itu menunjukkan bahwasanya nilai yang merupakan hasil pembagian sebuah bilangan dengan bilangan lainnya ataupun sering disebut dengan pecahan. Untuk lebih jelas silahkan simak penjelasan dibawah ini :
Berbagi
Posting Komentar
untuk "Rumus Pecahan Campuran : Operasi Hitung Pecahan Biasa Campuran Desimal Dan Persen Juragan Les : Sehingga, operasi hitung pecahan adalah operasi hitung dari bilangan rasional dengan berbagai macam."
Posting Komentar untuk "Rumus Pecahan Campuran : Operasi Hitung Pecahan Biasa Campuran Desimal Dan Persen Juragan Les : Sehingga, operasi hitung pecahan adalah operasi hitung dari bilangan rasional dengan berbagai macam."